研究生招生
美术学院2021年硕士研究生调剂复试名单

发布时间:2021-03-27

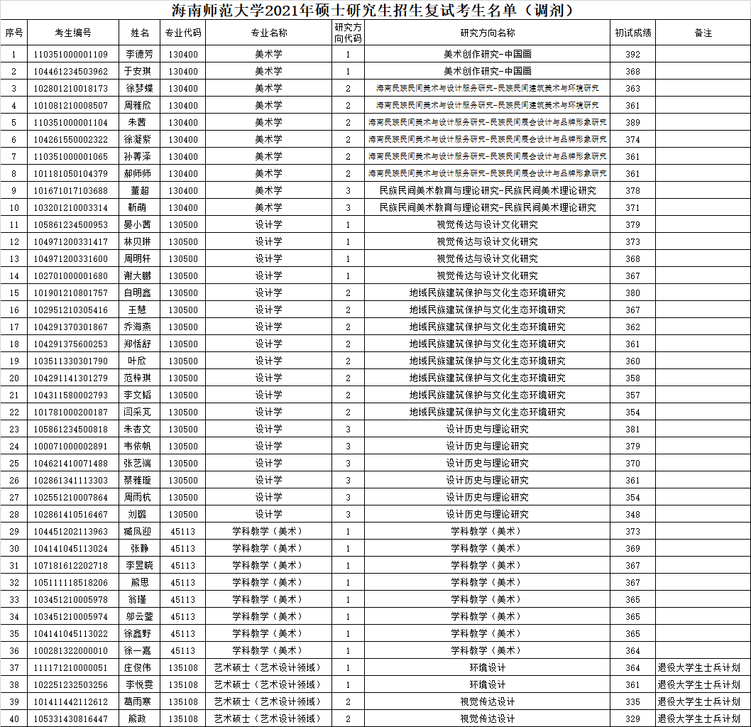
        根据《星空游戏官方关于做好2021年全国硕士研究生招生复试工作的通知》和《美术学院2021年硕士研究生招生复试录取工作实施细则》要求,基于以上文件的调剂原则,我院对各学科进行了分方向复试调剂,现将调剂复试名单公布如下:

美术学院2021年调剂考生复试名单

 

Baidu
map